کلینیک ریاضی
سوال و جواب ریاضی دبیرستان و کنکور
کلینیک ریاضی
سوال و جواب ریاضی دبیرستان و کنکور
خانه
تماس با من
طبقه بندی موضوعی
پاسخ به سوالات ریاضی شما
(۳۱)
ریاضی 1 و پایه
(۱۴)
ریاضی 2
(۱۲)
ریاضی 3 و حسابان
(۸)
جبرو احتمال و ریاضیات گسسته
(۲)
هندسه پایه 1 و 2
(۱۳)
حساب دیفرانسیل و انتگرال
(۲)
ریاضی کنکور
(۳)
سوال هوش و سرگرمی
(۲)
مطالب خبری و اطلاع رسانی
(۱۶)
مطالب متفرقه و غیر درسی
(۳)
بزرگان ریاضی ایران و جهان
(۱)
خلاصه آمار
کلمات کلیدی
هندسه 1
مثلثات
لگاریتم
بودجه بندی سوالات کنکور
معادله خط
تجزیه
دستگاه n مجهولی
دنباله تقریبات اعشاری
شیب
اطلاع رسانی
تحلیل کنکور 93
اکسترموم نسبی
نمرات
ماتریس
سوال امتحانی
توان
جز صحیح
قدرمطلق
شگفتیهای ریاضی
جبر پایه
هندسه2
نمایی
دستگاه معادله
وبلاگ قدیم
بایگانی
فروردين ۱۳۹۴
(۱)
آبان ۱۳۹۳
(۱)
مهر ۱۳۹۳
(۶)
شهریور ۱۳۹۳
(۳)
مرداد ۱۳۹۳
(۲)
تیر ۱۳۹۳
(۱۴)
خرداد ۱۳۹۳
(۴)
ارديبهشت ۱۳۹۳
(۱۸)
فروردين ۱۳۹۳
(۲۴)
آخرین مطالب
۹۴/۰۱/۰۱
سال نو ، سایت نو !
۹۳/۰۸/۰۲
پاسخ علی
۹۳/۰۷/۲۹
علی
۹۳/۰۷/۲۹
سینا پارسافر
۹۳/۰۷/۱۹
پاسخ میلاد
۹۳/۰۷/۱۶
کلاس رایگان
۹۳/۰۷/۰۸
خصوصیات انسان خلاق
۹۳/۰۷/۰۳
جدید
۹۳/۰۶/۰۹
اهداف
۹۳/۰۶/۰۴
کدامیک درست میگویند ؟!
پربیننده ترین مطالب
۹۳/۰۱/۰۹
رابطه محیط و مساحت مثلث
۹۳/۰۱/۱۱
نکات براکت و قدر مطلق
۹۳/۰۱/۰۶
هدف وبلاگ
۹۳/۰۱/۲۳
بودجه بندی سوالات ریاضی کنکور (( تجربی ))
۹۳/۰۲/۲۹
دانلود سوالات و جوابهای جبر و احتمال نهایی سال 93
۹۳/۰۲/۲۹
یه مطلب بسیارررررررر مهم
۹۳/۰۴/۱۰
تحلیل ریاضی کنکور 93
۹۳/۰۴/۱۱
اکسترموم نسبی
۹۳/۰۶/۰۳
مریم میرزاخانی
۹۳/۰۲/۱۹
پاسخ زهرا شاکری
محبوب ترین مطالب
۹۳/۰۱/۰۶
هدف وبلاگ
۹۳/۰۴/۱۱
اکسترموم نسبی
۹۳/۰۴/۱۱
خبر جدید و مهم
۹۳/۰۴/۱۱
متفرقه
۹۳/۰۶/۰۳
مریم میرزاخانی
۹۳/۰۱/۲۳
بودجه بندی سوالات ریاضی کنکور (( تجربی ))
۹۳/۰۱/۱۱
شگفتی های ریاضی
۹۳/۰۱/۱۴
یگانه سوال سوم
۹۳/۰۱/۲۵
بودجه بندی ریاضی (( کنکور ریاضی ))
۹۳/۰۱/۰۵
پاسخ محمد
مطالب پربحثتر
۹۳/۰۱/۰۶
هدف وبلاگ
۹۳/۰۶/۰۴
کدامیک درست میگویند ؟!
۹۳/۰۲/۲۹
یه مطلب بسیارررررررر مهم
۹۳/۰۱/۰۹
پاسخ زینب
۹۳/۰۱/۰۸
استفاده از مطالب وبلاگ قدیمی من
۹۳/۰۷/۱۹
پاسخ میلاد
۹۳/۰۱/۱۴
یگانه سوال دوم
۹۳/۰۴/۱۱
اکسترموم نسبی
۹۳/۰۴/۳۱
سوال
۹۳/۰۷/۱۶
کلاس رایگان
آخرین نظرات
۱۹ اسفند ۹۸، ۱۵:۱۷ - مصطفی شیردل
۱۹ مهر ۹۳ ، ۰۸:۳۷ میلاد هر دو درست ...
۱۹ اسفند ۹۸، ۱۵:۰۹ - مصطفی
4 jhsj
۱۹ اسفند ۹۸، ۱۵:۰۵ - مصطفی
4
۲۰ اسفند ۹۷، ۱۶:۱۸ - پارسا
عالیه
۴ فروردين ۹۵، ۱۴:۱۱ - فاطمه
اثبات((قرینه نقطه برخورد ارتفاع ها ...
۱۶ اسفند ۹۴، ۲۲:۱۳ - حدیث
با سلام x-m+n=?
۲۱ اسفند ۹۳، ۰۵:۳۷ - امیر
با سلام استاد در تابع ایکس ضربدر ...
۲۱ بهمن ۹۳، ۱۸:۱۶ - محمد
سلام .ممنون میشم جواب سوالمو بدین ...
۱۰ دی ۹۳، ۱۳:۵۹ - احمد
ممنون از سایت خوبتون موفق باشید ...
۲۶ آذر ۹۳، ۰۰:۱۵ - بی کار
هیچ کدوم این تصویر جزء تصاویر سه بعدی غیر واقعی هست.
پیوندهای روزانه
استقبال جهانی از مسابقه ایرانی
پیوندها
گروه آموزشی فراندیش
گروه فیزیک فراندیش
دانشنامه ویکیپدیا
خوارزمی کوچولو
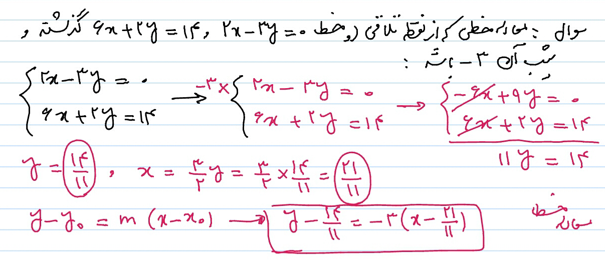
یگانه سوال دوم
پنجشنبه, ۱۴ فروردين ۱۳۹۳، ۰۱:۵۵ ب.ظ
۰
۰
۹۳/۰۱/۱۴
اردوان رزمگیر
معادله خط
نظرات
(۳)
۰۷ ارديبهشت ۹۳ ، ۲۰:۵۱
ahmadi
توجه...........توجه....توجه.........
دوستای عزیز سلام وبلاگی ک هم اکنون مشاهده میکنید یکی ازبهترین وبلاگ های خاورمیانس...
باورتون نمیشه امتحان کنید اگ شما سوالی بذارید3ساعت بعد پاسخشودریافت میکنید تازه اگ ذکر کنید عجله دارم 3دقیقه بعدپاسخ به دستتون میرسه...
۰۴ ارديبهشت ۹۳ ، ۱۶:۵۳
ahmadi
سلام خسته نباشید...میشه 1جزوه از فصل 5 سال اول بذارین؟؟؟؟؟
۱۴ فروردين ۹۳ ، ۱۴:۰۰
فانوس جزیره ...
حضرت زهرا سلام الله علیها فرمودند :
بهترین چیز براى حفظ شخصیت زن آن است که مردى را نبیند و نیز مورد مشاهده مردان قرار نگیرد.
بحارالأنوار: ج ۴۳، ص ۵۴، ح ۴۸٫
سلام علیکم
ایام شهادت حضرتش تسلیت باد ..
آه مادرم ...
التماس دعا
ارسال نظر
ارسال نظر آزاد است، اما اگر قبلا در
بیان
ثبت نام
کرده اید می توانید ابتدا
وارد شوید
.
نام *
پست الکترونيک
سایت یا وبلاگ
پیام *
شما میتوانید از این تگهای html استفاده کنید:
<b> یا <strong>، <em> یا <i>، <u>، <strike> یا <s>، <sup>، <sub>، <blockquote>، <code>، <pre>، <hr>، <br>، <p>، <a href="" title="">، <span style="">، <div align="">
کد امنیتی *
ارقام فارسی و انگلیسی پذیرفته میشوند
نظر بصورت خصوصی ارسال شود
نظر شما به هیچ وجه امکان عمومی شدن در قسمت نظرات را ندارد، و تنها راه پاسخگویی به آن نیز از طریق پست الکترونیک میباشد. بنابراین در صورتیکه مایل به دریافت پاسخ هستید، پست الکترونیک خود را وارد کنید.
پست الکترونیک برای عموم قابل مشاهده باشد
اخطار!
دوستای عزیز سلام وبلاگی ک هم اکنون مشاهده میکنید یکی ازبهترین وبلاگ های خاورمیانس...
باورتون نمیشه امتحان کنید اگ شما سوالی بذارید3ساعت بعد پاسخشودریافت میکنید تازه اگ ذکر کنید عجله دارم 3دقیقه بعدپاسخ به دستتون میرسه...